प्रतिशतता प्रश्नोत्तर --PERCENTAGE QUESTIONS AND SOLUTION
प्रतिशतता प्रश्नोत्तर --PERCENTAGE QUESTIONS AND SOLUTION
Q.1 किसी पारीक्षा में 65% विधार्थी गणित में , 48% भौतिक में उत्तीर्ण हुए तथा 30% इन दोनों विषयों में उत्तीर्ण हुए . कितने प्रतिशत विधार्थी इन दोनों विषयों में अनुतीर्ण हुए ?SSC GRADUATE 2007
Q.2 एक गाँव में 65% परिवारों में से प्रत्येक के पास एक गाय है . 30 % परिवारों में से प्रत्येक के पास एक भेंस है .तथा 15 % परिवारों के पास एक गाय तथा एक भेंस दोनों हैं . कुल मिलाकर 96 परिवार हैं. ऐसे कितने परिवार हैं. जिनके पास न गाय हैं न भेंस हैं? SSC GRADUATE 2007



Q.4 यदि पेट्रोल की कीमत में 20% की वृद्धि की जाय , तो एक कार मालिक को अपने पेट्रोल की खपत में कितने % की कमी करनी होगी , ताकि पेट्रोल पर उनके खर्च में कोई वृद्धि न हो ? SSC SECTION OFFICER 2007


Q.5 किसी बाल्टी में 66(2/3)% भरी होने की तुलना में 80% भरी होने पर 2 लीटर पानी अधिक आता है। बाल्टी की धारिता कितनी है ? SSC CPO SUB INSPECTOR

Q6. दो क्रमागत वर्षो में एक विधालय के 100 तथा 75 विधार्थी अंतिम परीक्षा में बैठे। इनमे से क्रमशा 75% तथा 60% उत्तीर्ण हुए। उत्तीर्ण होने वालो की औसत दर क्या है ? SSC CPO SUB INSPECTOR
Q7. सरकार ने चीनी के मूल्य में 10% की कमी कर दी। इससे एक उपभोक्ता 837 रू में 6.2 kg चीनी अधिक खरीद सकता है। चीनी का कम किया गया प्रति kg मूल्य क्या है ? SSC CGL 2005


Q8. यदि एक बेलन की उचाई में 15% की ब्रद्धि तथा इसके आधार के अर्धव्यास में 10% की कमी की जाय , तो इसके वक्र प्रष्ठ में कितने प्रतिशत का बदलाव आयगा ? SSC TAX AUDIT 2009

Q9 200 लीटर मिश्रण में 15% तथा शेष दूध है। दूध की मात्रा और मिला दी जाय ताकि परिणामी मिश्रण में दूध की मात्रा 87.5% हो जाय ? RRB AJMER 2006
Q.10 यदि किसी वस्तु की कीमत में 20% की कमी तथा उसकी खपत में 20% की ब्रद्धि हो जाय तो इस वस्तु के व्यय में क्या परिवर्तन होगा ? SSC CPO SI 2007

Q. 11 यदि A की आय का 60% , B की आय के 75% के बराबर है. तथा B की आय , A की आय के X% के बराबर है. X का मान क्या है ? ANDHRA BANK 2010


Q. 12 यदि किसी वर्ग की भुजा को 25% बढाया जाय, तो उसका क्षेत्रफल कितना बड जाएगा ?
Q. 14 यदि किसी आयताकार भूखंड की लम्बाई में 5% की ब्रद्धि तथा चौड़ाई में 10% की कमी की जाय , तो इसके क्षेत्रफल में कितना परिवर्तन होगा ? SSC GRADUATE LEVEL 2000
Q. 15 यदि 7प्रतिशत लवण वाले 12लीटर घोल को उबालकर 4 लीटर पानी को वाष्पित कर दिया जाय तो बाकी बचे घोल में लवण का प्रतिशत कितना है ? SSC CPO SI 2007
Q. 16 दो संख्याये किसी तीसरी संख्या से क्रमशा 10% और 25% अधिक हैं. पहली संख्या दूसरी संख्या की कितने प्रतिशत है ? SSC SECTION OFFICER 2005

Q. 17 एक लड़के को किसी राशि का 7/2% ज्ञात करने के लिए कहा गया। उसने प्रश्न को गलत पड़कर उसका 11/2% निकाल दिया। उसका उत्तर 220 रु था सही उत्तर क्या होगा ? UDC CLERK 2008

Q. 18 यदि किसी वर्ग की प्रत्येक भुजा को 10% बड़ा दिया जाय , तो इसके क्षेत्रफल में कितनी ब्रद्धि होगी होगी ?
SSC CPO SI 2009

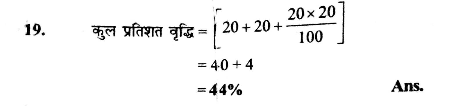
Q. 19 यदि किसी संख्या में 20% की वृद्धि की जाय तथा परिणामी संख्या में पुनः 20% की वृद्धि की जाय , तो कुल वृद्धि कितने प्रतिशत होगी ? DELHI PPLICE 2007

Q. 20 सेवो के मूल्य में 20% की कमी होने पर एक आदमी 4000 रु में 16 kg अधिक सेब खरीद सकता है। सेबो का कम हुआ प्रति kg मूल्य कितना है ? MUMBAI PO 1999

Q. 21 दो संखायाये किसी तीसरी संख्या से क्रमशः 30% और 37% कम हैं. पहली संख्या से दूसरी संख्या कितने प्रतिशत कम है ? ALLAHBAD BANK (AO) 2009

Q. 22 यदि A का 2/3 = B का 75% = C का ०.6 हो , तो A:B:C का मान क्या होगा ? UNION BANK 2006

Q.23 32 , 80 का कितने प्रतिशत के बराबर है? RRB BHOPAL

Q. 24 किसी पदार्थ का मूल्य 6 रु प्रति kg से बढकर 7.5 रु प्रति kg हो गया है. यदि उस पर होने वाले खर्च को न बढाया जाय , तो उसका खपत में कितने प्रतिशत की कमी करनी होगी ? UNION BANK OF INDIA

Q. 25 तीन संख्यायो में पहली तथा दूसरी संख्याये तीसरी संख्या से क्रमशः 20% तथा 37% कम है। दूसरी संख्या ,पहली की तुलना में कितनी कम है ? UP POLICE SERVICE 2009

Q. 26 यदि √2x का 5% =0. 01 हो तो x का मान कितना होगा ? RRB WEST BENGAL
Q. 27 2/3 भिन्न 1/3 भिन्न की कितने प्रतिशत है? RRB AJMER

Q. 28 एक प्रेक्षा गृह की सीटो की संख्या में 25% की ब्रद्धि की गयी है। और उसके टिकट की कीमत में भी 12% की ब्रद्धि कर दी गयी है। तदनुसार , उस प्रेक्षाग्रह की आय में कितनी ब्रद्धि हो जायगी ?

Q. 29 दो संखायाओ का अंतर उन दोनों में बड़ी संख्या के 20% के बराबर है। यदि छोटी संख्या 20 हो तो बड़ी संख्या क्या होगी ?

Q. 30 5 अर्धव्यास वाले व्रत का क्षेत्रफल उसकी परिधि के कितने प्रतिशत होगी ? SSC CGL

प्रतिशतता क्या है,
प्रतिशतता के सूत्र,
प्रतिशतता के प्रश्न pdf,
प्रतिशत सवाल,
,
प्रतिशत का अर्थ,
प्रतिशत pdf,
ट्रिक मोबाईल,
प्रतिशत और प्रतिशतक के बीच का अंतर,
PERCENTAGE QUESTIONS AND SOLUTION,
percentage problems and solutions pdf,
percentage problems for bank exams,
percentage questions in hindi,
percentage question tricks,
percentage problems in tamil,
,
percentage questions for class 7,
percentage aptitude tricks pdf,
percentage questions for class 8,








Post a Comment
0 Comments